Air Force Position Paper Template - The static format examples within the tongue & quill have been transformed into official digital templates which allow airmen to. Airmen will be able to download official templates from this site (bottom of page). Below are attached attached the talking paper template, position paper template, official memorandum template, and background paper template. We would like to show you a description here but the site won’t allow us. Position paper on quality air force this paper addresses the importance of embracing and implementing quality air force (qaf) tools into. These are taken from the air. These official templates will help give time.
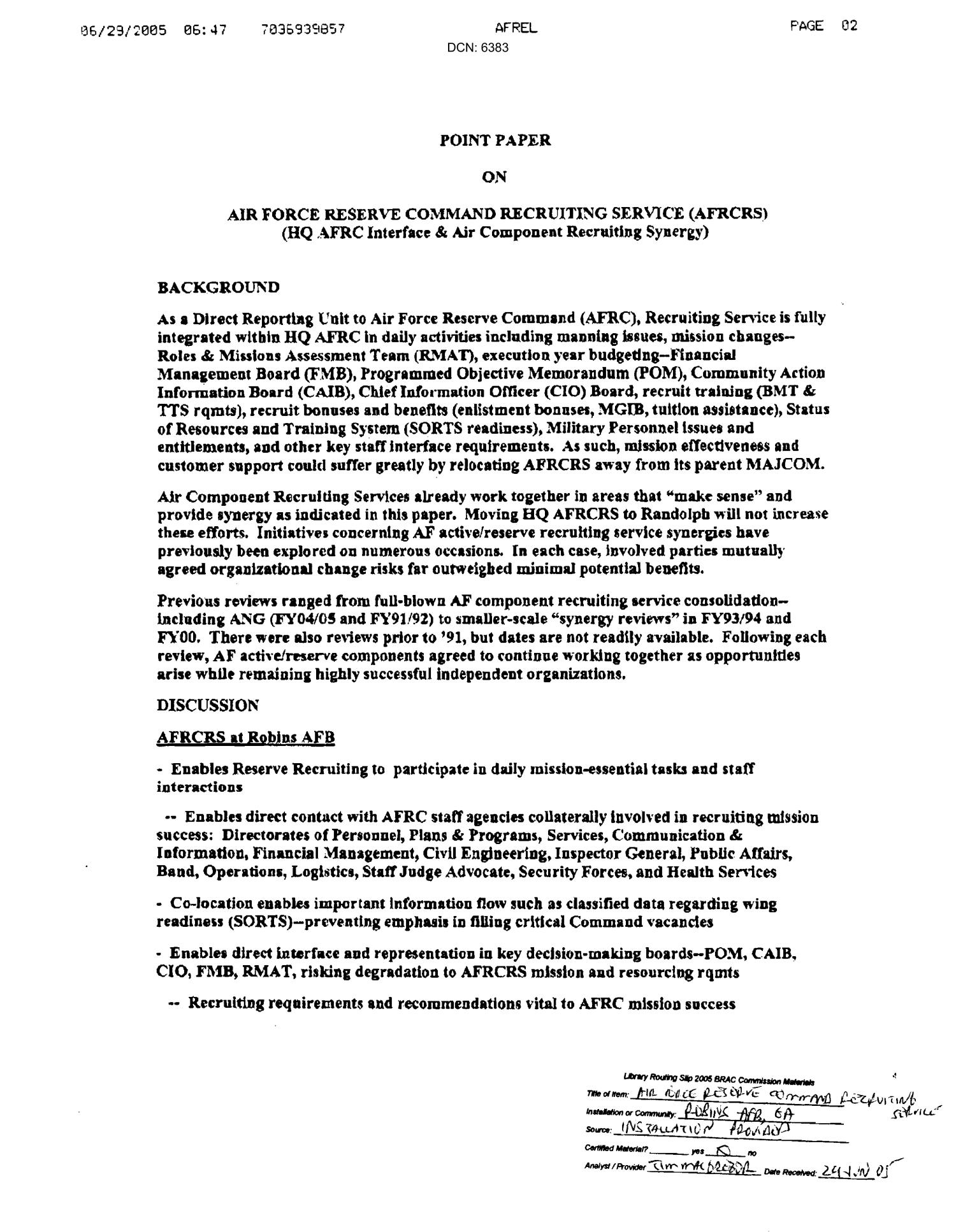
Point Paper on Air Force Reserve Command Recruiting Service (AFRCRS) UNT Digital Library
We would like to show you a description here but the site won’t allow us. Position paper on quality air force this paper addresses the importance of embracing and implementing quality air force (qaf) tools into. The static format examples within the tongue & quill have been transformed into official digital templates which allow airmen to. Airmen will be able.
Air Force Papers Template
Airmen will be able to download official templates from this site (bottom of page). Position paper on quality air force this paper addresses the importance of embracing and implementing quality air force (qaf) tools into. We would like to show you a description here but the site won’t allow us. Below are attached attached the talking paper template, position paper.
Air force Position Paper Template Lovely Summer Camp Registration form 2 Free Templates In Pdf
The static format examples within the tongue & quill have been transformed into official digital templates which allow airmen to. Position paper on quality air force this paper addresses the importance of embracing and implementing quality air force (qaf) tools into. We would like to show you a description here but the site won’t allow us. Below are attached attached.
Air force Position Paper Template Best Of Enlisted Service Dd 214 1985 Peterainsworth Paper
The static format examples within the tongue & quill have been transformed into official digital templates which allow airmen to. Position paper on quality air force this paper addresses the importance of embracing and implementing quality air force (qaf) tools into. These official templates will help give time. Below are attached attached the talking paper template, position paper template, official.
Format Of Position Paper With Example
We would like to show you a description here but the site won’t allow us. Below are attached attached the talking paper template, position paper template, official memorandum template, and background paper template. These official templates will help give time. The static format examples within the tongue & quill have been transformed into official digital templates which allow airmen to..
Air force Position Paper Template Inspirational Aviation Cover Letter Cover Let… in 2020 Cover
These are taken from the air. Airmen will be able to download official templates from this site (bottom of page). Below are attached attached the talking paper template, position paper template, official memorandum template, and background paper template. We would like to show you a description here but the site won’t allow us. Position paper on quality air force this.
Air force Position Paper Template Unique Sample Army Memo Template 8 Pdf Word Google Docs
Position paper on quality air force this paper addresses the importance of embracing and implementing quality air force (qaf) tools into. The static format examples within the tongue & quill have been transformed into official digital templates which allow airmen to. Airmen will be able to download official templates from this site (bottom of page). These are taken from the.
Air force Position Paper Template Best Of Enlisted Service Dd 214 1985 Peterainsworth Paper
These official templates will help give time. Below are attached attached the talking paper template, position paper template, official memorandum template, and background paper template. The static format examples within the tongue & quill have been transformed into official digital templates which allow airmen to. Airmen will be able to download official templates from this site (bottom of page). These.
Air Force Position Paper Template
Below are attached attached the talking paper template, position paper template, official memorandum template, and background paper template. Airmen will be able to download official templates from this site (bottom of page). We would like to show you a description here but the site won’t allow us. The static format examples within the tongue & quill have been transformed into.
Pin on Air force Position Paper Template
Position paper on quality air force this paper addresses the importance of embracing and implementing quality air force (qaf) tools into. Below are attached attached the talking paper template, position paper template, official memorandum template, and background paper template. These are taken from the air. These official templates will help give time. Airmen will be able to download official templates.
Airmen will be able to download official templates from this site (bottom of page). The static format examples within the tongue & quill have been transformed into official digital templates which allow airmen to. Position paper on quality air force this paper addresses the importance of embracing and implementing quality air force (qaf) tools into. Below are attached attached the talking paper template, position paper template, official memorandum template, and background paper template. These official templates will help give time. We would like to show you a description here but the site won’t allow us. These are taken from the air.
We Would Like To Show You A Description Here But The Site Won’t Allow Us.
These are taken from the air. Airmen will be able to download official templates from this site (bottom of page). Position paper on quality air force this paper addresses the importance of embracing and implementing quality air force (qaf) tools into. The static format examples within the tongue & quill have been transformed into official digital templates which allow airmen to.
Below Are Attached Attached The Talking Paper Template, Position Paper Template, Official Memorandum Template, And Background Paper Template.
These official templates will help give time.








